본문 바로가기
주메뉴 바로가기
온라인 견적문의
바로가기
취급 브랜드
취급 브랜드
제품소개
HOT / NEW
Antibody / Antigen
Biosimilar
Blood / Plasma / PBMC / Serum
Cell line / Culture / Media
Chemical / Peptide / Reagent
Consumable / Instrument
ELISA / Assay Kit
Glyco- / Nano- / Chromato-
Mycoplasma / Contamination
PCR
Protein
Sample Preparation
Standards
Syringe Filter
Virus
합성서비스
학술정보
Protocol
학술문의
카탈로그
이벤트
이벤트
고객지원
견적문의
공지사항
주문 가이드
회사소개
인사말
연혁
Contact
메뉴
HOME
학술정보
Home
취급브랜드
제품소개
학술정보
이벤트
고객지원
회사소개
Protocol
학술문의
카탈로그
카탈로그
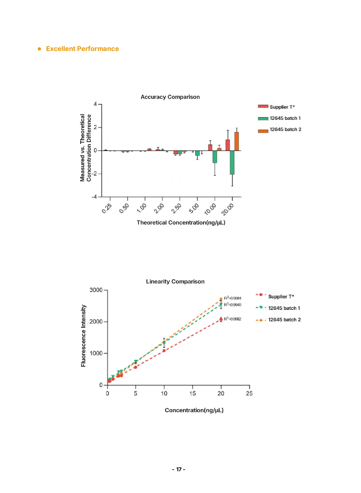
[YEASEN] Complete Solution for Next Generating Sequencing Library Preparation
관리자
2026-02-05
조회수
297
첨부파일
(
1
)
[YEASEN] Complete Solution for Next Generating Sequencing Library Preparation.pdf (3.8 MB)
목록
다음글
[YEASEN] Fast Reverse Transc
ription & qPCR
이전글
[YEASEN] Ultra-PEI AAV Transfection Reagent
카톡문의
견적문의
이벤트
공지사항
인스타그램